Efficiëntie en mechanisme van intermitterende reductieve/oxidatieve defluorering van PFAS door synergetische methoden
PFAS komen overal ter wereld voor in allerlei soorten drinkwaterbronnen. Het vernietigen van PFAS is erg moeilijk, zoals blijkt uit hun kwalificatie als ‘voor altijd chemicaliën’. Om het PFAS-probleem echt op te lossen, zal de C-F-bond vernietigd moeten worden. Het idee is dat door afwisselend geavanceerde reductie- en oxidatieprocessen het PFAS stap voor stap kan worden afgebroken, wat uiteindelijk resulteert in mineralisatie van het PFAS.
Sequentiële reductie/oxidatie als oplossing voor PFAS verontreiniging
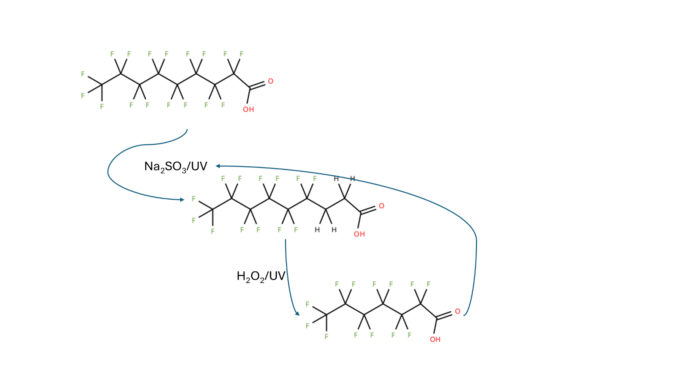
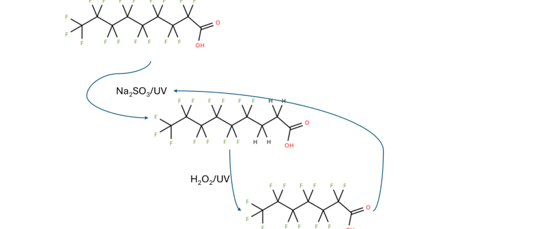
PFAS komen overal ter wereld voor in allerlei soorten drinkwaterbronnen. De meeste technologieën die worden toegepast om PFAS uit water te verwijderen, zijn gebaseerd op filtratie, hetzij membraanfiltratie of filtratie over een filtermateriaal zoals actieve kool of een ionenuitwisselingshars. Over het algemeen leidt dit er echter toe dat de PFAS van het ene medium naar het andere wordt verplaatst, waardoor het eigenlijke probleem niet wordt opgelost. Het vernietigen van PFAS is erg moeilijk, zoals blijkt uit hun kwalificatie als ‘voor altijd chemicaliën’. Om het PFAS-probleem echt op te lossen, zal de C-F-bond vernietigd moeten worden. Omdat dit een van de sterkste bindingen is die bekend zijn, zijn gangbare oxidatietechnieken niet voldoende om deze binding te breken. Echter, het tegenovergestelde proces, (geavanceerde) reductie, kan effectief zijn om de C-F-binding te breken en fluoride (F-) te produceren. Een voorbeeld is het UV/SO3-proces. Verschillende onderzoeksgroepen werken aan dergelijke processen, en de consensus is dat de C-F-bindingen dicht bij de carboxylaatgroep van een perfluorcarbonzuur het meest eenvoudig te breken zijn. Als gevolg hiervan stopt de reductiereactie na het verwijderen van een beperkte hoeveelheid fluoride-ionen. Het resulterende transformatieproduct kan echter opnieuw worden omgezet in een carboxylaat door een geavanceerde oxidatie toe te passen, bijvoorbeeld met het UV/H2O2-proces. Dit kan ook helpen om de sulfonaatgroep van perfluorosulfonaten om te zetten in een carboxylaatgroep. Het idee is dat door afwisselend geavanceerde reductie- en oxidatieprocessen PFAS stap voor stap kan worden afgebroken, wat uiteindelijk resulteert in mineralisatie van PFAS en zo een definitieve oplossing voor deze ‘voor altijd’ chemische stoffen ontwikkeld wordt.
Rationeel design op basis van mechanismes
In dit project wordt de afwisselende toepassing van geavanceerde reductie- en oxidatiecondities bestudeerd. Het doel is om het reactiemechanisme van PFAS-degradatie beter te begrijpen en op basis hiervan operationele parameters te kwantificeren voor toepassingen op afvalstromen met relatief hoge concentraties PFAS. Belangrijke operationele parameters zijn het aantal benodigde oxidatie-reductie cycli en de doses van sulfiet, peroxyde en UV. Deze zullen mede afhankelijk zijn van de water matrix, componenten zoals nitraat en opgelost organisch materiaal hebben sterke interactie met sulfiet , peroxide en UV. De tussenproducten en eindproducten van het proces worden geïdentificeerd met LC-MS methoden om inzicht te krijgen in het reactiepad en het risico op het ontstaan van schadelijke producten in te schatten.
Volledige afbraak PFAS
Het resultaat van het project is een wetenschappelijk gefundeerde basis voor een nieuwe technologie om PFAS in waterstromen volledig af te breken tot niet-schadelijke producten. Deze basis kan in opvolgend pilot-onderzoek verder uitgewerkt worden tot een operationele technologie.

- WUR Environmental Technology
- Van Remmen UV technology